Сохраните в закладки:
*История изменения цены! Указанная стоимость возможно, уже изменилось. Проверить текущую цену - >
| Месяц | Минимальная цена | Макс. стоимость | Цена |
|---|---|---|---|
| Feb-25-2026 | 50667.49 руб. | 51680.59 руб. | 51173.5 руб. |
| Jan-25-2026 | 41092.59 руб. | 41914.53 руб. | 41503 руб. |
| Dec-25-2025 | 49869.97 руб. | 50866.68 руб. | 50367.5 руб. |
| Nov-25-2025 | 49470.78 руб. | 50459.32 руб. | 49964.5 руб. |
| Oct-25-2025 | 39496.68 руб. | 40286.83 руб. | 39891 руб. |
| Sep-25-2025 | 48672.0 руб. | 49645.16 руб. | 49158.5 руб. |
| Aug-25-2025 | 48273.75 руб. | 49238.8 руб. | 48755.5 руб. |
| Jul-25-2025 | 47874.4 руб. | 48831.29 руб. | 48352.5 руб. |
Новые товары
Характеристики
Описание товара



* 电机紧凑 、 轻量化的驱动器整体集成效果,见下图:
* 内置磁编码器,测量电机的位置信息,15 бит



* Общая конструкция должна соответствовать следующим двум принципам:
1. Уменьшает инерцию и качество ног
2. Увеличьте рабочее пространство ноги
Уменьшите инерцию, используйте более обычную схему привода (вдали от земли), свободу одной ноги присваивается традиционной форме Катания-шаг, дизайн выглядит следующим образом:
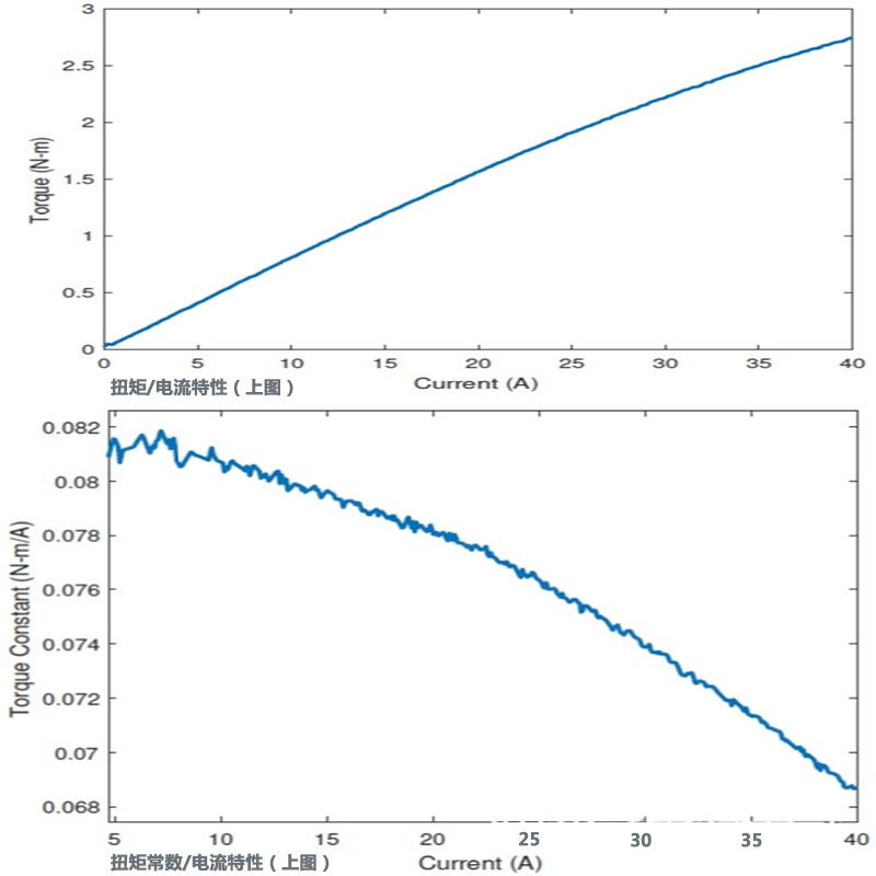
* Характеристики крутящего момента/тока двигателя в основном находятся в хорошей линейной связи с погрешностью около 12% при максимальном токе.
* После того, как диск наколенника перемещается вверх и вниз, используйте Ленточный привод, как показано ниже:
* В целях снижения собственного качества Легкая конструкция была подчеркнута с помощью анализа конечных элементов:
Дизайн икры схемы I-beam
Полый дизайн интерьера
* Тело робота состоит из 1,5 мм AL 6061 твердый алюминий
Мне ничего не помогло как коррекция вальгусной деформации. Большая кость большого пальца всегда мне мешал при надевания обувей. Сейчас есть... Читать отзыв полностью...
Отличный магазин не однократно пользуюсь. Большой выбор товара, по доступным ценам. Очень классная и реалистичная футболка, оформление и получение заказа... Читать отзыв полностью...
Пальто очень понравилось. Для меня только одни плюсы: довольно теплое, стильное, давно искала именно такую верхнюю одежду. Ношу уже не... Читать отзыв полностью...
Дешево и сердито, бюджетные способы украсить комнату Милые картинки в детскую. Хорошо подходит в светлую комнату. Купили девочке-грудничку в подарок)))... Читать отзыв полностью...
Чемодан очень вместительный, качество очень хорошее. Поражает - очень легкий вес для такого объема, что для меня было очень... Читать отзыв полностью...
Парки моя страсть). А эта модель мне очень понравилась, смотрится супер. Капюшон-воротник красиво ложится. Когда накидываешь на голову, не съезжает... Читать отзыв полностью...
Добрый день, хочу поделиться своими впечатлениями о данном товаре. Заказывала с большим сомнением, боялась что будут растягиваться и висеть. Но... Читать отзыв полностью...